|
A sphere is a set of points in three-dimensional space equidistant from a point called the center. The surface of a sphere is perfectly round. |
Note: A "sphere" is the outer surface of a "ball" (or "solid sphere"). A "ball" is a sphere and everything inside the sphere.
The word "sphere" is from the Greek meaning "globe". |
|
Of all shapes, a sphere has the smallest surface area
for its volume. |
 |
• |
Spheres are perfectly round geometric objects. |
• |
|
• |
The intersection of a plane with a sphere is a circle (or a point if tangent to sphere). |
• |
If two planes are equidistant from the center of a sphere, and intersecting the sphere, the intersected circles are congruent. |
|
• A great circle is the largest circle that can be drawn on a sphere. Such a circle will be found when the cross-sectional plane passes through the center of the sphere.
•
The equator is an example of a great circle. Meridians (passing through the North and South poles) are also great circles.
• The shortest distance between two points on a sphere is along the arc of the great circle joining the points.
• The shortest distance between points on any surface is called a geodesic. In a plane, a straight line is a geodesic. On a sphere, a great circle is a geodesic. |
Let's check out distance on a sphere.
On a two-dimensional map of the Earth's surface, the shortest distance from California to Poland appears as a straight line. But when flying from California to Poland, flight plans usually fly over Iceland. The airplane is flying the shortest distance from California to Poland. Really?

A map is a two-dimensional representation of a 3-dimensional surface of the Earth.
Remember that the Earth is modeled by a sphere.
As such, maps do not accurately represent Earth's dimensions
due to the distorted placement of the sections of the flat map.
A straight line on a map is not necessarily straight on a sphere.
Any circle passing through the center of the Earth will be a great circle.
The airplane is basically following a path along a great circle from California to Poland.
It is the shortest distance on Earth (a sphere), and the shortest distance from California to Poland.
If you can imagine gluing the map over a ball (a spherical shape), you will see that the "distances" are quite different on the sphere in comparison to what they appeared to be on the flat map. |
 |
This great circle path on the sphere is called a geodesic.
A geodesic is the shortest distance between locations on a sphere.
Airplanes and ships travel in relation to great circles on the Earth's surface. |
 |
When flying in the airplane, it will appear (and feel) as if the plane is traveling in a straight line.
Cross Sections
are Circles
(or a tangent point) |
Cross Sections of a Sphere:
Unlike the cross sections of the other non-polyhedra shapes (cylinder and cone), a sphere has no base. So thinking of shapes parallel or perpendicular to the base of a sphere makes no sense.
All cross sections of a sphere are circles.
(All circles are similar to one another.) |
A hemisphere is the half sphere formed by a plane intersecting the center of a sphere. |
The cut-line forming a hemisphere is a great circle.
The volume of a hemisphere is half the volume of the sphere. |
 |

Volume of a Sphere:
Note: The volume of a sphere is actually the volume of the solid inside a sphere, often referred to as a spherical solid.
The volume inside of a sphere is four-thirds times π, times the cube of its radius.  |
|
Example:
Find the volume of this sphere where the diameter is 24 units. Express answer to the nearest tenth of a cubic unit.
Solution:
• The diameter = 24, so the radius = 12 units.
• The volume formula is:
|
|
|

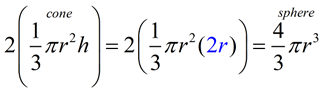
Justification of formula by "pouring" (sphere/cone):
We can conduct an experiment to demonstrate that the volume of a cone is half the volume of a sphere with the same radius and height. We will fill a right circular cone with water. When the water is poured into the sphere, it will take two cones to fill the sphere.
| • |
The radius of a right circular cone is r. |
| • |
The radius of a sphere is r. |
| • |
The height of the cone is h. |
| • |
The height of the sphere is h. |
| • |
In a sphere, height = 2r. |
In Volume: 2(cones) = 1(sphere)
 |
 |

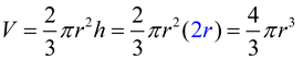
Justification of formula by "pour and measure" (sphere/cylinder):
We can also conduct an experiment to demonstrate that the volume of a sphere is two-thirds the volume of a cylinder with the same radius and height. We will fill a sphere with water. When the water is poured into the cylinder, it will fill two-thirds of the cylinder.
| • |
The radius of the sphere is r. |
| • |
The height of the sphere is h = 2r. |
| • |
The radius of the cylinder is r. |
| • |
The height of the cylinder is h = 2r. |
By measurement, it can be concluded that the height (depth) of the water in the cylinder is two-thirds the height of the cylinder.
Since the formula for the volume of the cylinder is V = πr2h, it follows that the volume of the sphere can be represented by:
.
|
|
| Note: Since we have shown that the volume of a cone is one-third the volume of a cylinder, we could have jumped ahead to this conclusion, but pouring the water was more fun! |
Justification of formula by "Cavalieri's Principle":
To understand the set-up for this demonstration, you need to look back at the precious justification. Did you notice, when the water from the sphere was poured into the cylinder, that one-third of the space in the cylinder was left over?
Now, we know that the volume of a cone is one-third the volume of a cylinder (of same radius and height).
So, if we place our sphere inside our cylinder, as shown at the right, we will have one cone's worth of empty space left around the sphere. This cone will have a height of h = 2r and a radius of r.
For ease of computation and visual examination, we are going to cut the diagram, shown at the right, in half horizontally. We will be looking at half of the cylinder, half of the sphere, and half of our cone's volume. We can obtain half of a cone's volume by finding the volume of a cone with half its height. |
 |
The volume of the new half-sphere will equal the volume of the new half-cylinder minus the volume of a right circular cone of radius r and height r. The cone is placed inside the cylinder, as shown. The volume of the space remaining in the half-cylinder equals the volume of the half-sphere.

The "bases" of our half-solids are circles with radii
r and areas of
πr2 square units.
A cross-section is sliced parallel to the bases at
x units above the base.
In the half a sphere (hemisphere):
|
In the half cylinder with empty cone: |
The radius of the hemisphere is r.
The height of the hemisphere is r.
The radius of the circular cross section is a.
By forming a right triangle, and using the Pythagorean Theorem, a2 = r2 - x2.
The area of the cross section is πa2, which is π(r2 - x2).
|
The radius of the cylinder is r.
The height of the half cylinder is r.
The radius of the cone is r.
The height of the cone is r.
The cross section is a "ring" since the cone is empty.
The radius across the full ring is r. The radius of the inner circle of the ring is x.
We know this inner radius is x by using similar triangles. The similar right triangles are isosceles, making their legs everywhere equal.
The area of the cross section ring is
πr2 - πx2 which is π(r2 - x2). |
The conditions of Cavalieri's Principle are met and the plane parallel to the bases intersects both regions in cross-sections of equal area. The regions we examined have equal volumes.

