|
Volume formulas are used to calculate the space inside a 3D geometric solid.
We have seen through our investigations of prisms, pyramids, cylinders and cones,
that there are certain common relationships between the volume formulas of these figures,
with the basis of the comparisons being the formula for the volume of the prism.
Let's take a look at these relationships in one glance.
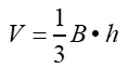
Note: All four formulas are based upon B, the area of the base of the figure,
and h, the height of the figure (with some modifications).
All four solids have a volume formula based upon B, the area of the base,
and h, the height.
Prism and Cylinder formulas are identical: V = B • h
In the prism (above), B = area of a triangle
In the cylinder, B = area of a circle.
(In these figures, sitting on their bases, the horizontal cross sections throughout each figure
are congruent.)
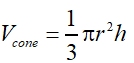
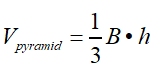
Pyramid and Cone formulas are identical: 
In the pyramid (above), B = area of a rectangle.
In the cone, B = area of a circle.
(In these figures, sitting on their bases, the horizontal cross sections throughout each figure
are similar.)
 |
These relationships may help you remember the formulas for the volumes of these common geometric solids.
|

NOTE: The re-posting of materials (in part or whole) from this site to the Internet
is copyright violation
and is not considered "fair use" for educators. Please read the "Terms of Use". |
|