|
A sector of a circle is the portion of a circle enclosed by two radii and an arc. It resembles a "pizza" slice.
|
|
Common sectors in circles: ("A" represents AREA of sector):
The area of a sector is found using proportionality (establishing a "fractional part").
Method 1: Calculating the Area of a Sector when the Central Angle is known:
When finding the area of a sector (using the central angle and radius), you are actually finding
a "fractional part" of the area of the entire circle.
The "fractional part" is the ratio of the central angle of the sector
to the "entire circle of 360 degrees".
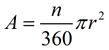
[fractional part =
; where n = central angle]


Method 2: Calculating the Area of a Sector when the Arc Length and Radius are known:
When finding the area of a sector (using the arc length and radius),
the "fractional part" becomes the ratio of the arc length (s) to the entire circumference.


Method 1:
1. Find the area of a sector with a central angle of 40º and a radius of 12 cm. Express answer to the nearest tenth.
Solution:
 |
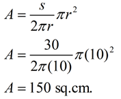
Method 2:
2. Find the area of a sector with an arc length of 30 cm and a radius of 10 cm.
Solution:

|

We have seen that the area of a sector is a fractional part of the area of the entire circle. The area of a sector can be expressed using its central angle or its arc length.
The following proportions are true regarding the sector:
 |
 |
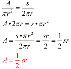
We are going to derive the formula for the area of a sector using the sector's arc length.
Using the first and last ratios in the proportion shown above, the following is true.

If A = area of the sector, and s = arc length, then
.
Solving the proportion for A gives:
