|
Directions: Read each question carefully. Choose the best answer.
1. |
The diagram at the right shows the construction of line a, through point P, parallel to line b.
Which theorem was used to justify this construction?
Choose: |
|
| |
|
|
2. |
Which diagram shows the correct construction for an angle bisector? |
| |
|
|
3. |
Kyle is attempting to bisect the obtuse angle shown at the right. He does not understand why his arcs in the interior of the angle are not intersecting one another. What has Kyle done incorrectly?
Choose: |
|
| |
|
|
4. |
Which of the following statements is a result of the construction shown at the right?
|
|
|
5. |
Based on the construction shown at the right, which of the following statements must be true?
Choose:
|
|
|
6. |
Which diagram shows the correct construction for a perpendicular bisector of the segment from P to R ? |
| |
|
|
7. |
Based on the construction shown at the right, which of the following statements must be true?
Choose:
|
|
|
8. |
Which of the following choices was the FIRST step in drawing this construction of an angle bisector?
|

|
|
9. |
When the construction "Copy an Angle" is finished, segments are drawn across the span of the arcs (as shown below in red). Which method proves the two triangles formed are congruent?
|
| |
|
|
10. |
When constructing the bisector of a line segment, you are also constructing the perpendicular bisector of the segment.
|
|
|
11. |
Regarding the construction shown at the right, which statement is NOT always true?
|
 |
|
12. |
When constructing a line, through a point, parallel to a given line, you will be
Choose:
|
 |
|
13. |
Alison is attempting to construct a perpendicular to line m at point P. She placed her compass point at P and drew the arc intersecting the line at two points she labeled A and B. |
|
| |
She then placed her compass at point A and made an arc, and at point B and made an arc. Unfortunately, her arcs are tangent to one another at point P. She does not have two points to connect to form the perpendicular. What did she do wrong?
Choose: |
| |
|
|
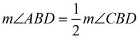
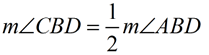
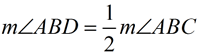
14. |
The construction of an angle bisector is verified by the creation of two congruent triangles. In the construction at the right, the congruent triangles will be Δ SRQ and Δ STQ. Which theorem proving triangles congruent is used for these two triangles?
|
 |
|
15. |
The task of constructing a perpendicular to a given line at a point on the line is based upon which other construction?
|
 |
|

NOTE: The re-posting of materials (in part or whole) from this site to the Internet
is copyright violation
and is not considered "fair use" for educators. Please read the "Terms of Use". |
|