|

Directions: Decide if these statements are TRUE or FALSE. Check your answer when finished.
| |
Given: (with initial point A) |
| |
1. AP : PB = 3 : 2 |
|
| |
2. AP : AB = 2 : 5 |
|
| |
3. PB : AB = 2 : 5 |
|
| |
4. BP : PA = 2 : 3 |
|
| |
5. AB : AP = 5 : 3 |
|
|
Directions: Answer these questions pertaining to partitioning segments. Choose the best answer.
1. |
A line segment partitioned by a ratio of 3:4 can be thought of as having ____ congruent sections. |
|
|
|
2. |
On a number line, point C is located at -4 and point D is located at 6. At what point must P be located so that the directed line segment from C to D will be partitioned in a 2:3 ratio?

|
Choose:
|
|
3. |
Given  with coordinates A(-4,5) and
B(12,13). Find the horizontal distance and the vertical distance from A to B, stated in that order. |
|
|
|
4. |
The coordinates of a directed line segment are A(-6,-5), the initial point, and B(4,0), the terminal point. Point P lies on the segment. Determine the coordinates of point P such that AP:PB is 2:3. |
Choose:
|
|
5. |
Given a directed line segment from E to F. Point D lies on the segment 5/7 of EF from point E. What is the ratio ED:DF ? |
|
|
|
6. |
Point P partitions a directed segment in the ratio of 3:4.
The coordinates of the initial point are A(-9,-9) and terminal point B(5,-2). Find the coordinates of P. |
Choose:
|
|
7. |
Given a directed segment from M to N as shown at the right. Find the coordinates of partition point P that divides the segment into a 5:2 ratio. |
 |
|
|
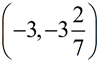
8. |
A directed line segment from A(5,0) to B(-3,-4) contains point P which partitions the segment in a ratio of 3:2 . Find the coordinates of point P. |
|
|
|
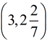
9. |
Given the directed line segment as shown, with an initial point at M. Find the coordinates of the partition point P that divides directed segment into a 1:3 ratio. |
 |
|
|
|
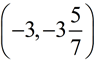
10. |
Given a directed line segment as shown at the right. The initial point is A. Find the coordinates of partition point P that divides directed segment into a 3:1 ratio. |
 |
|
|

NOTE: The re-posting of materials (in part or whole) from this site to the Internet
is copyright violation
and is not considered "fair use" for educators. Please read the "Terms of Use". |
|