|
Directions: These questions pertain to parallel and perpendicular lines. The hints from the cartoon characters may, or may not, be helpful! Choose the best answers.
1. |
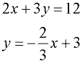
Given the linear equations:

These lines are:
|
|
|
|
2. |
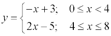
Given the linear equations:
These line segments are: |
|
|
Choose:
|
|
3. |
Given: a line through (-3,4) and (4,-3) and
a line through (-6,-5) and (-5,-4).
These lines are:
|
|
|
|
4. |
Which equation represents a line through (3,1) and parallel to y = -2x - 9? |
|
|
|
5. |
A new line is drawn through the point (-3,6) and perpendicular to the line with x-intercept (3,0) and y-intercept (0,3). Which choice is the equation of this new line? |
|
|
|
6. |
Which equation represents a line parallel to the x-axis? |
|
|
|
7. |
Which equation represents a line that is parallel to the line whose equation is 2x + 3y = 12? |
|
|
|
8. |
Which of the following lines are parallel to y = -3x + 1?
(Check all that apply, and hit SUBMIT!) |
|
| |
|
9. |
The graphs of the equations y = 2x - 7 and
y - kx = 7 are parallel when k equals: |
|
|
|
10. |
Which of the following lines are perpendicular to 2y = 4x + 5?
(Check all that apply, and hit SUBMIT!) |
|
| |
|

NOTE: The re-posting of materials (in part or whole) from this site to the Internet
is copyright violation
and is not considered "fair use" for educators. Please read the "Terms of Use". |
|