|
Directions: Read carefully and choose the best answer. Be sure to show your work.

1. |
A soda company wants a cylindrical can that is 6 inches in height with a volume of 18.8 cubic inches.
a) What needs to be the radius of the can to the nearest inch? |
|
| |
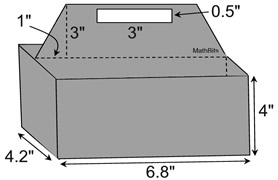
b) The company has asked for a cardboard carrier for the cans. Your design team has drawn the carrier shown below. The open handle section of the carrier is an isosceles trapezoid (with a divider extending to the bottom of the carrier). How many square inches of cardboard are needed to create this carrier?
(Round to nearest hundredth of a square inch.)
|
| |
|
| |
|
|
2. |
A wedding planner wants you to design a small closed rectangular guest box to hold bird seed to be thrown at the bride and groom after the wedding. The volume of the box is to be 16 cubic inches and the sides are to be integer values in inches.
a) Provide a list of all possible sized boxes for the wedding planner.
b) What is the minimum amount of cardboard, in square inches, needed to create this box?
|
|
| |
c) Bird seed will cost $0.10 per cubic inch, and the decorative cardboard will be $0.25 per square inch. Find the minimum cost for the gift boxes for 150 guests. |
|
|
3. |
A NASA engineer is designing a model of a portion of a new wind tunnel. The portion being designed is basically a cylinder with a cone interior, as shown in the diagram.
a) What percent of the interior volume of the cylinder is occupied by the cone?
b) If the interior portion of the cylinder, not occupied by the cone, is filled with foam during transportation, how many cubic centimeters of foam will be needed?
|


|
| |
c) The cost of the shell of the cylinder (open on both ends) is $124.50 per m2 and the cost of the cone's shell (open bottom) is $249.00 per m2. What is the cost of the materials for this model? |
| |
|
|
4. |
A company is designing a billboard to announce its new web site. They want a giant 3-dimensional hash-tag to be placed on the top of the billboard. The hash-tag is comprised of 4 hollow intersecting plastic rectangular solids of the same dimensions, as shown. The dimensions of each rectangular solid is 18 feet by
2 feet by 2 feet. To ensure stability, the hash-tag is to be filled with a solidifying foam. How many cubic feet of foam will be needed to fill the hash-tag? |
|
|
5. |
You have been asked to design two packaging designs. The first is to be a rectangular prism with a height of 9 inches and a volume of 162 cubic inches. The second package is to be a triangular prism with the same height and volume.
|
 |
| |
a) State the area of the base of each of the packages. Explain your findings.
b) If the triangular base of the triangular prism has a height length of "h" inches, express the base of the triangle in terms of "h". |
| |
|
|
6. |
A pizza shop has designed open-topped cardboard boxes to serve full circular pizzas to the seated customers.
a) The boxes are formed by cutting out 1" squares from the corners of the cardboard. If the volume of the box is 324 cubic inches, what are the dimensions of the box, in inches? |
|
| |
b) When placed in the box, a large pizza can be described as being "inscribed" in the box. If the pizza is 1" thick, find the volume of the pizza, in cubic inches. |
| |
c) The shop is also serving a new circular brownie pizza dessert (1" thick with a volume of 132.25 cubic inches). What are the dimensions of the open-topped cardboard box needed to serve the brownie pizza (assuming the brownie to be inscribed in the box)?
|
|
|
A company wants a design for a matching set of cylindrical salt and pepper shakers with a diameter of 8 cm. each.
Find, to the nearest tenth of a centimeter, the minimum height of the containers
such that each container has a volume of at least 427 cubic centimeters.
|
|
|
|
8. |
A company has a building logo, shown at the right: a circle with an inscribed square with an inscribed circle with an inscribed equilateral triangle. The diameter of the outer circle is 8 feet.
The triangle is to be made from a glittering material costing $104.95 a square foot.
What is the cost of the triangular center of this building logo?
|
|
|
9. |
In graphic design, a page layout is composed of a series of intersecting vertical and horizontal grid lines. Such typographic grids serve as frameworks for designers to organize content, diagrams, images, etc.
A designer sets up a typographic grid on a advertising poster 21" by 23". The grid has margins of 0.5" along all edges and 0.5" between each row of horizontal rectangles (shown as blue dotted segments). |
|
| |
Each rectangle is 3" by 4".
a) How many rectangles will fit horizontally across the page?
b) What will be the size of the vertical margins between the rectangles? (shown as red dotted segments)
c) How many rectangles will fit vertically down the page? |
 |
|
|
10. |
It is hypothesized that Leonardo DaVinci painted the Mona Lisa by following the golden ratio proportions of a golden rectangle.
If a golden rectangle (shown below in pink) with a longer side a and a shorter side b, is placed beside a square with side a, a new (similar) golden rectangle will be formed (a + b by a).
|
 |
| |
In the painting shown above, let the value of a equal
14.56".
a) What is the value of b to the nearest hundredth of an inch?
b) Using your answer to part a, find the value of c to the nearest hundredth of an inch?
|

Golden Rectangle
 |
|

NOTE: The re-posting of materials (in part or whole) from this site to the Internet
is copyright violation
and is not considered "fair use" for educators. Please read the "Terms of Use". |
|
|