|
The formulas on this page should look familiar, as they pertain to triangles and quadrilaterals.
The discussion, however, will extend to the derivations of the basic formulas.
|
Area is the quantity that expresses the amount of surface a two-dimensional shape covers in square units. The area of a shape can be measured by comparing the shape to squares of a fixed size. |
|
|
The example at the left shows a rectangle divided into 8 unit squares where each unit square represents 1 square inch.
There are two rows of four unit squares.
The area of the rectangle is 8 square inches. |

The examples below utilize a variety of geometry concepts to determine area.

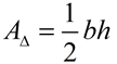
1. Find the area of ΔABC using the formula
A = ½bh.

|
Solution: We need to find the missing altitude from B to D for the formula A=½bh..
ΔABD is a 30º-60º-90ºΔ, where the side opposite the 30º angle will be half of the hypotenuse. Since 7 is half of 14, we know that the hypotenuse from A to B equals 14".
Now, BD (long leg) will be ½ of that hypotenuse times radical 3.


(answer in square units) |
2. Find the area of ΔABC using the formula A = ½ab sinC. Round to nearest hundredth.

|
Solution: We no longer need to find the altitude. We have all we need for this formula.
A = ½ • a • b • sinC
A = ½ • 32 • 35 • sin44º =389.0086875
Area = 389.01 square units. |
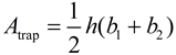
| 3. Find the area of trapezoid TRAP.

|
Solution: trap formula: A = ½h(b1 + b2).
We have all we need.
A = ½ • 4 • (6 + 9) = 30 square units.
If you forget the area formula for a trapezoid, you can partition the diagram into a rectangle and a triangle.
Area rectangle = 6 • 4 = 24
Area 3-4-5 rt.triangle = ½ • 3 • 4 = 6
Total area = 30 square units.. |
| 4. Find the area of ΔABC to the nearest tenth.

|
Solution: BD is given, but we need to find base AC for the formula A = ½bh.
ΔABD is a Pythagorean triple right Δ
(8-15-17), so AD = 8.
We need to use trigonometry. to find DC.

AC = 8 + 24.005 = 32.005
Area = ½ • 32.005 • 15 = 240.0375
= 240.0 square units |
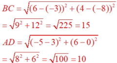
| 5. Find the area of ΔABC using Distance Formula and your knowledge of equations of lines. Use the side from B to C as the base, with the altitude starting at A. |

|
Solution: We need to find point D, where the altitude will cross the base to get AD.
The slope of the base is 4/3 so the slope of the altitude will be -3,4. By counting "rise" and "run", D is at (3,0). It checks in the equation of the base: y = (4/3)x - 4.
Using the Distance Formula:

Area: ½ • 15 • 10 = 75 square units |

Derivations of well known area formulas of 3 and 4-sided polygons:
"Regular" Triangle
(Equilateral Δ )
 |
"Regular" Quad
(Square)
 |
Rhombus
 |
Kite
 |

 |
When considering perimeter and area of a figure, is it true that as the area gets larger, the perimeter also gets larger? |
If you are dealing with an enlargement (a dilation) of a figure, increasing the area will also increase the perimeter.
You cannot, however, generalize this result by stating that "increasing the area of a figure will always increase the perimeter of the figure". Consider the image at the right. The area of the pentagon is decreased by cutting chunks away, but the perimeter is increased. |
Small triangular sections are cut out of the pentagon on the left (see arrow), so the remaining shape looks like 6 small pentagons.  |

NOTE: The re-posting of materials (in part or whole) from this site to the Internet
is copyright violation
and is not considered "fair use" for educators. Please read the "Terms of Use". |
|
|