This lesson deals with perimeter as it applies to triangles and quadrilaterals.
|
Perimeter is the distance (or length) around the outside of a closed figure. It can be thought of as a "path" that surrounds a two-dimensional shape. |
|
Shown below are some familiar perimeters expresses as "formulas".

In general, the "formula" for finding perimeter
is to simply add the lengths of all of the line segments.
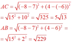
While perimeter sounds like a simple concept, it can be challenging when a question requires the use of past skills such as the Pythagorean Theorem, trigonometry, special right triangle formulas, the distance formula, or other concepts, to find lengths of individual segments.
Let's take a look at some examples.
