|
Directions: Read carefully!
1. |
Given the diagram at the right, as labeled, find CD.
Choose:
|
|
|
2. |
Given the diagram at the right, as labeled, find x.
Choose:
|
|
|
3. |
Given the diagram at the right, as labeled, find QR.
Choose:
|
|
|
4. |
Given the diagram at the right, as labeled,
find x.
Choose:
|
|
| |
|
5. |
Given the diagram at the right, as labeled,
find x.
Choose:
|
|
|
6. |
Given the diagram at the right, as labeled, find x.
Choose:
|
|
|
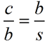
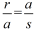
7. |
For the diagram shown at the right, which of the following proportions will be always true regarding the segments of the triangle?
|
 |
| |
Choose:
|
|
8. |
In right triangle ΔABC, ∠C is a right angle. , the altitude to the hypotenuse, has a length of 8 units. If the segments of the hypotenuse are in the ratio of 1 : 4, find the number of units in the two segments of the hypotenuse.
Choose:
|
|
9. |
Given right triangle ΔPQR as shown at the right.
a) Find a.
Choose:
|
|
| |
|
| |
c) Find x.
Choose:
|
|
10. |
The hypotenuse of a right triangle has a length of 50 units, and the longer leg of the triangle has a length of 40 units. What is the length of the projection of the shorter leg on the hypotenuse?
Choose:
|
|
11. |
READ CAREFULLY!
Given the diagram shown at the right, as labeled, find SQ.
Choose:
|
 |
|
12. |
Given a circle labeled as shown with diameter .
AC = 15 cm. and AE = EF = FC.
a) Find CD.
Choose:
|
|
| |
|
| |
c) Find BF.
Choose:
|
|
13. |
Challenge Problem: Given right triangle ΔACB with altitude and angle bisector .
Find ED, to nearest hundredth.
Choose:
|
|
|

NOTE: The re-posting of materials (in part or whole) from this site to the Internet
is copyright violation
and is not considered "fair use" for educators. Please read the "Terms of Use". |
|