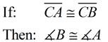
Proof:
• Construct an auxiliary line through point
C bisecting ∠
C. An angle has a unique angle bisector. Label the intersection with the base as
D.
•
m∠ACD = m∠BCD because an angle bisector forms two congruent angles which have equal measure.
• Under a reflection in

, the reflection of
C will be
C, since
C lies on the line of
reflection.
• Since
m∠ACD = m∠BCD and reflections preserve angle measure, the image of ∠
ACD will be the same measure as ∠
BCD.
• Since these angles are equal in measure, the reflection of ray

(side of the ∠) will coincide with its image

(side of the image angle).
• The reflection of

will have the same length as that of

since reflections preserve length.
• The reflection of

will have the same length as that of

by substitution.
• The reflection of
A is
B since reflections preserve length and the segments share point
C.
• The reflections of

and the reflection of

since reflections map rays to rays.
• The reflection of ∠
CAB will have the same measure as ∠
CBA since reflections preserve angle measure. We have established that the rays forming these angles coincide under a reflection.
•

since congruent angles are angles of equal measure.
QED