|
Directions: Grab your paper and pencil. Your task is to prepare a "proof" for each of the following problems. You may use any "style" (format) of proof. This page will use the traditional "2-column" proof since this format shows the reasoning in the most organized manner. Each proof requires knowledge of different concepts from this unit.
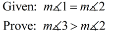
1. |
 |
|
| |
|
|
|
2. |
|

|
| |
|
|
|
4. |
|
 |
| |
|
|
|
5. |
|
 |
| |
|
|
|
6. |
|
 |
| |
|
|
|

NOTE: The re-posting of materials (in part or whole) from this site to the Internet
is copyright violation
and is not considered "fair use" for educators. Please read the "Terms of Use". |
|