2. ΔBUG is similar to ΔDEN.
a. State the scale factor relating to these two triangles.
b. What Similarity Theorem can be used to verify that these triangles are similar?
c. Find the values of x and y.
d. Find UG and DE.

While these triangles may "look" to be right triangles, you cannot make that assumption at the beginning of this problem. As such, you cannot use the Pythagorean Theorem to find the missing sides in the triangles.
AFTER we have solved the problem, we can then verify that the triangles are right triangles.
|
Solution: a. Only the shortest sides of the the two triangles have numbers on them. Since the triangles are given to be similar, the scale factor between the triangles (larger to smaller) is 18 to 9 or 2 to 1.
b. SSS. Since only the side lengths are given in this problem, the triangles must be similar because the corresponding sides are in proportion satisfying the SSS Similarity Theorem.
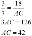
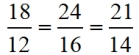
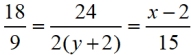
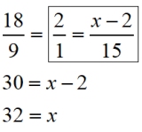
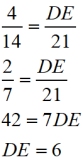
c. The proportions:
Solve for x and y separately:
d. UG = x - 2 = 32 - 2 = 30
DE = 2(y + 2) = 2(4 + 2) = 2(6) = 12 |