
Volume (V) and Surface Area (SA) Formulas
Note: Surface area formulas may need to be amended if the figure has "open" surfaces,
such as when working with a box without a lid or with a soup can without a top.
Volume is measured in "cubic units".
Surface area is measured in "square units".
All of the information on this page pertains to "right" solids,
where when placed on their bases, the second congruent base will be directly above the first base.
|
Right Rectangular Prism
|
|
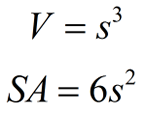
Right Square Prism (Cube)
s = length of side |
Right Triangular Prism |
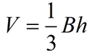
Right Prism (all forms)
B = area of base; h = prism height (or depth)
SA = 2 B + ph
B = area of base, p = perimeter of base, h = prism height |
|
Right Pyramid (all forms)
B = area of base; h = pyramid height
SA = sum of area of all faces.
If base is a "regular" polygon,
SA = B + ½ ph
B = area of base, p = perimeter of base,
h = slant height |
|
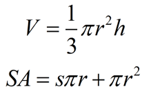
Right Circular Cylinder
This formula assumes a "closed container"
with a top and bottom. |
|
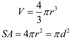
Sphere
|
|
Right Circular Cone
This formula assumes a "closed container", with a bottom. |