Up to this point, our systems of equations have had at least one variable with a coefficient of "one". Now, let's take a look at systems where this limitation no longer holds.
The methods of solution that can be used to solve the systems on this page are the same as those previously seen: "Elimination", "Substitution", and/or "Graphing". We will be concentrating on the "elimination" method, as it requires the most additional algebraic work. Remember: the elimination method creates one set of variables with the same coefficients, so that the variables can be eliminated.
We will start with some simple situations and then jump into the more challenging situation.
Situation 1: While there are no coefficients of "one", there are matching coefficients. |
Solve this system of equations:
3y = -2x + 4
2x - 4y = -10 |
Solution - Elimination Method:
• First, rewrite the equations to line up the matching variables and constants.
2x + 3y = 4
2x - 4y = -10 |
The matching coefficients are now more visible.
Subtract the two equations to eliminate the x-variables.
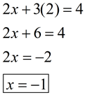
|
• Subtract to eliminate the x-variable:
|
• Substitute to find x:
 |
• Once the equations were re-aligned, the solution was simple. No additional algebraic manipulations were needed. |

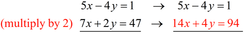
Situation 2: While there are no coefficients of "one", one of the coefficients is a multiple of the other matching variable. |
Solve this system of equations:
5x - 4y = 1
7x + 2y = 47 |
Solution - Elimination Method:
• Notice that 4 is a multiple of 2 (on the y-variables). This means that only the second equation will need to be multiplied times 2 to create the same coefficients on the y-variables.
• Add to eliminate the y-variable:
|
• Substitute to find y:  |
• If one coefficient is a multiple of (or a factor of) the other, creating the same coefficient for that variable requires multiplying ONLY ONE of the equations. |

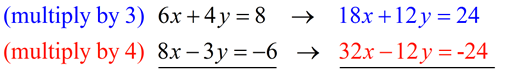
Situation 3: While there are no coefficients of "one", there are now also no matching coefficients, and no coefficients that are multiples. This situation deals with systems having "random" coefficients". |
Solve this system of equations:
6x + 4y = 8
8x - 3y = -6 |
Solution - Elimination Method:
Creating the same coefficients for one of the variables in these systems will be more of a challenge, since multiplying only ONE of the equations will not be sufficient to complete the task.
• In these systems, we will need to multiply BOTH equations to create the same coefficients for one of the variables.
• Let's choose to work with the y-variable in this solution. (Yes, you could choose x instead.)
• We need to find the least common multiple (LCM) for the y-coefficients of 4 and 3. This LCM will be 12.
To create a common coefficient of 12, we will need to multiply "4y" by three and "3y" by four.
• Multiply the first equation by 3 and the second equation by 4, to create the 12y variables.

• Now, add to eliminate the y-variables and solve for x. Then solve for y.
|
The solution will be x = 0 and y = 2 or (0, 2). |
|
Note: multiplying a variable by the coefficient of the matching variable will always create a "common" (the same) coefficient.
Example: The x-variable coefficients in this problem are 6 and 8, which multiply to 48. If you can not think of the LCM for 6 and 8, you can use 48 to get the correct answers.
Your work will just be a bit easier if you can remember that the LCM for 6 and 8
is 24.
|
|