|
Directions: You may need paper and pencil. Choose the correct answer.
1. |
Solve for x: x + 8 = 19 |
|
|
|
2. |
Solve for m: m - 6 = 24 |
|
|
|
3. |
Solve for x: x - 12 = -16 |
|
|
|
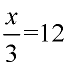
5. |
Solve for x:  |
|
|
|
6. |
Solve for a: 9 + a = 30 |
|
|
|
7. |
Ten times a number, n, is 530. Which equation can be used to find n? |
|
|
|
8. |
A number, n, decreased by 14 equals 60.
Which equation can be used to find n? |
|
|
|
9. |
Solve for x: x + 4.5 = -8.7 |
|
|
|
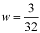
10. |
Solve for w:  |
|
|
|

NOTE: The re-posting of materials (in part or whole) from this site to the Internet
is copyright violation
and is not considered "fair use" for educators. Please read the "Terms of Use". |
|