|
Directions: You may need paper and pencil. Choose the correct answer.
1. |
A new skateboarding park charges a $4 entrance fee and an hourly charge as shown in the table at the right.
a) Which equation represents the relationship between the cost, c, and the number of hours, h, spent skateboarding?
Choose:
|
Skateboarding Cost
|
b) What is the cost for an 8-hour stay at the park?
Choose:
|
|
2. |
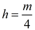
The number of times Homer has fallen while skiing is ¼ the number of times Marge has fallen. Which equation represents the number of times Homer, h, has fallen in terms of the number of times Marge, m, has fallen? |
|
|
|
3. |
Which value of b makes this equation true?
b - 1.5 = 6.4 |
|
|
|
4. |
Jason earns $5.25 per hour for walking Mrs. Shoen's dog Skippy.
a) Which equation represents his total earnings, m, related to his hours worked, h?
Choose:
|
|
b) If Jason walks Skippy a total of 9 hours this week, how much will he earn for this week?
Choose:
|
|
5. |
Which of the following values for m will make this equation true?
m + 12.8 = 21.6 |
|
|
|
6. |
The Drama Club is sponsoring a talent show, and you are in charge of ticket sales. The tickets sell for $7.95 each, and a total of $445.20 was collected on the first day of ticket sales. Which equation can be used to determine the number of tickets, t, sold on the first day of ticket sales? |
|
|
|
7. |
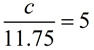
Ali bought 5 notebooks for $11.75.
a) Which equation can be used to determine the cost, c, in dollars, of one notebook?
Choose:
|
|
b) What is the cost, in dollars of one notebook?
Choose:
|
|
8. |
A barn has a number of stalls, s, housing baby animals and their mothers. At the current time, each stall has exactly 8 animals.
a) Write an equation to represent, a, the total number of animals, in all of the stalls in the barn.
b) If the barn had 14 stalls, how many animals would be in the barn under these conditions? |
 |
|
|
9. |
Jason carves wooden animals figurines and sells them for $15.95 each (including tax) at the Farmers' Market. On Saturday he gets a total of $287.10 for his sales.
a) Write an equation that can be used to determine the number of figurines, x, that he sold on Saturday.
b) Solve the equation to find x, the number of figurines he sold on Saturday. |
 |
|
|
10. |
A wedding reception is being planned for the Community Center's ballroom. The ballroom is 4,500 square feet. The wedding planner is told that for a reception with a dance floor, she should plan for 9 square feet per quest.
a) Write an equation to represent the number of people, x, who can be contained in a space that is s square feet in size.
b) Using your equation, determine the number of people who can be invited to this reception.
|
|
|
|

NOTE: The re-posting of materials (in part or whole) from this site to the Internet
is copyright violation
and is not considered "fair use" for educators. Please read the "Terms of Use". |
|