Practice Page
Directions: Solve the following problems relating to compound inequalities. You will need paper and pencil to show your work.

1.
Which of the following choices is NOT a solution of
-4 < -6x + 2 < 8 ?
tree2
      
       Choose:
 
0
1
2
-1

 

 

2.
Which of the following choices is a solution to
x < -5 or x > 8 ?
tree3

       Choose:
 
x = -1
x = -6
x = 0
x = -4

 


3.
Which of the following choices is NOT a solution to
cp2 ?
tree5

       Choose:
 
x = 0
x = -1
x = 3
x = -5

 

 

4.
Which expressions is represented by this graph?
cp6
tree4a
       Choose:
 
(x < -1) and (x > 3)
 
(x < -1) or (x > 3)
 
(x > -1) and (x < 3)
 
(x > -1) or (x < 3)

 

 

5.
Which of the following graphs represents the solution set for:
cp4
tree7
       Choose:
 
cp4a
 
cp4d
 
cp4b
 
cp4c

 

 

6.
Which expression has the entire number line as its graph?
tree6
       Choose:
 
(x > 5) and (x < 8)
  (x < 5) and (x > 8)
  (x > 5) or (x < 8)
  (x < 5) or (x > 8)

 

 

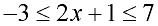
7.
Which of the following choices describes the solution set to this compound inequality?
cp3
tree8
        Choose:
 
2 < x < 6
 
2 < x < 6
 
x < 2 or x > 6
 
x < 2 or x > 6

 

 

8.
Which choice is the solution set to this compound inequality?  
cp8       

tree9
       Choose:
 
x < 5 or x > 6
 
5 < x and x < 6
 
x < 5 or x > 6
 
5 < x and x < 6

 


9.
Which of the following choices is a solution to this compound inequality?
4x - 5 < 7 and x > 6
tree11
       Choose:
 
x < 3 or x > 6
  x < 2 or x > 6
  3 < x < 6
  no solution

 

 

10.
Which choice is the solution set for:  
-3x < 6 and x + 2 < 9        
tree10
       Choose:
 
x < -2 and x < 7
  x > -2 and x < 7
  x < -2 or x < 7
  x > -2 or x < 7



divider

NOTE: The re-posting of materials (in part or whole) from this site to the Internet is copyright violation
and is not considered "fair use" for educators. Please read the "Terms of Use".