logo
Practice Solving Multi-Step Inequalities MathBitsNotebook.com

Topical Outline | JrMath Outline | MathBits' Teacher Resources

Terms of Use    Contact Person: Donna Roberts
divider
Practice Page
Directions: Solve the following problems relating to multi-step inequalities. You will need paper and pencil for your work.

1.
Which of the following choices is the solution of
-4(x - 6) > 12 ?
face11
      
       Choose:
 
x > 12
x < 3
x < -3
x > -12

 

 

2.
Which of the following choices is the solution to
multi1 ?
face3

       Choose:
 
x > -12
x > 12
x > 16
x > 48

 


3.
Solve for x:      2x - 6 - 7x < -24 + x
face2

       Choose:
 
x < 5
x < -5
x > 3
x > -3

 

 

4.
Which inequality does NOT have the solution shown on this number line?
cp6
face1
       Choose:
 
-2x < x + 2 - 11
-3(x + 1) < 6
 
-3x < -9
-5x - 2x < -17 - 4

 

 

5.
Which of the following graphs represents the solution set for the inequality 3(x + 5) > 8(x + 5)?
face7
       Choose:
 
cp4a
 
cp4d
 
cp4b
 
cp4c

 

 

6.
Solve for x:     multi2
face5
       Choose:
 
x > ¼
x > ½ x > 1½ x > 1¾

 

 

7.
Solve for x:     5(3x + 1) > 15x + 5
face10
       Choose:
 
x > 0
x > 1 x < 0 no solution

 

 

8.
Solve for x:     -2.5x + 4(1.5x - 3.5) < x + 4.5         
face8
       Choose:
 
x > 4.2
x < 4.2 x > 7.4 x < 7.4

 


9.
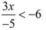
Which of the following choices is the solution to the inequality multi3?
face9
       Choose:
 
x < 10
x > -10
  x < -10 x > 10

 

 

10.
Which choice is the solution set for multi6 ?      
face4
       Choose:
 
x > -mult5
x < -mult4 x > -mult4 x < -mult5



divider

NOTE: The re-posting of materials (in part or whole) from this site to the Internet is copyright violation
and is not considered "fair use" for educators. Please read the "Terms of Use".