|
Directions: Answer these questions pertaining to expressions.
1. |
Sneakers which normally sell for d dollars are on sale at a 25% discount. Which expression is NOT equivalent to the sale price of the sneakers?
|
|
|
2. |
Daryl bought t dog toys that cost $4.75 each and b dog bones that cost $2.50 each. An 8% sales tax is applied to the total cost. Which expression represents the total amount Daryl paid, including tax?
|
|
|
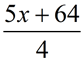
3. |
As a homework assignment, your math teacher has asked you to find the mistake that a student made in combining terms in this expression.
Simplify:
a) In which step did the student first make a mistake?
b) What is the correct answer?
|
|
4. |
A rectangular rug has its width represented by x and its length represented by 3x + 1.
a) Express the area of the rug in terms of x.
b) If x = 3 feet, find the rug's perimeter.
|
|
|
5. |
Over a one year period, the dimensions of a crater fluctuate due to climate changes. The diameter of the crater at the beginning of the year is represented by d. The diameter of the crater at the end of the year is represented by 1.05(0.86d).
Which of the following descriptions could be used to explain what happened to the crater during the year?
|
|
6. |
The figure shown at the right is composed of rectangles. The like-colored rectangles are congruent (the same size).
a) Write an expression to represent the perimeter of the figure.
b) Write an expression to represent the area of the entire figure (including the white center). |
|
|
|
|
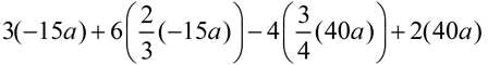
7. |
Write an expression to represent the product of 5 and (¼ • x + 3.2).
Anna says the answer is 1.25x + 16.
Ali says the answer is  .
Who is correct?
|
|
|
8. |
The cost of a half-gallon of your favorite ice cream increased by 3.5% over the past year. Everyone must love it!
If the original cost of the ice cream is represented by c, which expression represents the cost of the ice cream after the price increase?
|
|
|
9. |
For the following investigation, you may assume that x is a positive integer between 5 and 10.
Ike's age is x years.
Maria is 5 years older than Ike.
Juan is 2 years younger than Ike.
Deann is twice the sum of Ike's age plus 4.
Kyle age is the triple of 5 less than Ike's age.
a) Express the total of their ages in terms of x.
|
|
|
b) Who's the oldest?
|
|
10. |
A board is (10x + 3) inches long. A slice measuring (7x - 4) inches is cut from the board. Express the amount of the original board that is left, in terms of x.
|
|
|

NOTE: The re-posting of materials (in part or whole) from this site to the Internet
is copyright violation
and is not considered "fair use" for educators. Please read the "Terms of Use". |
|