|
Directions: Read carefully and choose the best answer. The cartoon characters may, or may not, be giving correct information!
1. |
Simplify:
Choose:
|
|
|
2. |
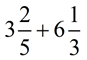
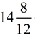
Add:
Choose:
|
|
|
3. |
Add: 
Choose:
|
|
|
4. |
Subtract: 
Choose:
|
|
|
5. |
Four middle school teams are collecting recyclable plastic water bottles to raise money for charity. The number of pounds of bottles collected by each team, during two separate rounds, is shown in the table at the right.
|
|
|
a) Which team collected the largest number of pounds over the two rounds?
Choose:
|
|
b) What was the difference, in pounds, between the total pounds collected by the team with the largest number of pounds and the team with the smallest number of pounds?
Choose:
|
|
6. |
Subtract:
Choose:
|
|
|
7. |
The high school ski club consists of  freshman,  sophomores and  juniors.
What fraction of the club is seniors?
|
|
Choose:
|
|
8. |
Which expression is NOT equivalent to  ?
Choose:
|
|
10. |
Simplify: 
Choose:
|
|
|

NOTE: The re-posting of materials (in part or whole) from this site to the Internet
is copyright violation
and is not considered "fair use" for educators. Please read the "Terms of Use". |
|