Practice Page

Directions: Read carefully and choose the best answer.

1.
The measurements of a piece of rectangular poster board are shown at the right. What is the area of the poster board, in square yards?
Choose:
 
A1
A2
A3
A4
bluerect

 

2.
Juanita has 34 of a quart of lemonade in a pitcher which she pours into glasses. She pours15 of a quart of the lemonade into each glass until she runs out of lemonade. How many glasses will have lemonade in them, including the one that is partially filled?
Choose:
 
2
3
4
6

 

3.
A rectangular deck has an area of 634square meters. The length of the deck is 92meters. What is the width of the deck, in meters?

Choose:
 
deck

 

4.
During a sale, Fidget Spinners are 14 off the regular price. If a Spinner regularly costs $5.90, what is the sale price?

Choose:
 
$4.75
$4.43
$4.25
$1.48

 

5.
You buy 3 large bags of M&M candies for a party. Each bag contains 2½ cups of the candies. The candies are to be shared equally among 15 party-goers. What fractional part of a cup of the M&Ms candies will each party-goer receive?
Choose:
 
34
12
14
16

 

6.
A new biking trail has been opened at the state park. The trail goes up to a mountain rest area and then returns along a different route. The trail up to the rest area is 4¼ miles and the return route is ¾ of a mile shorter than the trip up.
What is the total length, in miles, of the biking trail up to the rest area and back?

Choose:
 
7¾ mi.
7½ mi.
7¼ mi.
7 mi.
bike

 

7.
The area of the triangle shown at the right is 316square foot. What is the length, in feet, of the height of the triangle?
yeltri

Choose:
 
16
34
13
45

 

8.
A zoo worker uses a 12 gallon bucket to fill an empty 213 gallon watering trough for the giraffes. How many buckets of water will it take to fill the watering trough?
Choose:
 
314 buckets
334a buckets
 
412abuckets
423abuckets
zoo

 

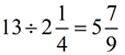
9.
Heath bought 13 yards of rope at the Town and Country Store from which to make lead lines for his horses. Each lead line will be 214yards in length. Heath uses division and finds heathdivide.
Which of the following statements best describes what 579 represents in this situation?
Choose:
 
Heath had 579 yards of rope left after making the lead lines.
 
Heath made lead lines that were each 579 yards in length.
 
Heath made 5 lead lines with enough left for 79of a lead line.
 
Heath made 5 lead lines and had 79of a yard left over.

 

10.
A right rectangular prism (a box) has a length of 3¼ feet, a width of 2½ feet and a height of 1¾ feet. What is the volume, in cubic feet, of this right rectangular prism?
(Hint: V = l•w•h)
Choose:
 
af10m1
af10mm2
af103
af10m4



divider

NOTE: The re-posting of materials (in part or whole) from this site to the Internet is copyright violation
and is not considered "fair use" for educators. Please read the "Terms of Use".