|
Given: a, b, c and d are real numbers, variables, or expressions such that b, c, d ≠ 0.
Property: |
Example: |
1. Signs and Fractions:  |
|
The placement of a negative sign can be in front of the fraction, in the numerator or in the denominator. |
|
2. Equivalent Fractions:
 |

"Cross Multiply" - In a proportion, the product of the means equals the product of the extremes. |
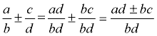
3. Adding & Subtracting:
Get a common denominator.
 |

You can use the product of the two denominators as the common denominator if you cannot find a smaller common denominator. |
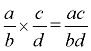
4. Multiplying:
 |

Just multiply through the top and multiply through the bottom. |
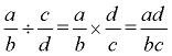
5. Dividing:
 |

Invert the second term, and multiply.
|
6. Simplify: Search for the largest factor that will divide evenly into both the numerator and denominator. It may be the case that the fraction is already in its simplest form. |

Writing all of these steps is not necessary. Just be careful not to make a careless mistake. |

NOTE: The re-posting of materials (in part or whole) from this site to the Internet
is copyright violation
and is not considered "fair use" for educators. Please read the "Terms of Use". |
|