Directions: Read carefully and choose the best answer.
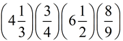
1.
Express this product in simplest form:
Choose:
2.
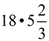
Multiply:
Choose:
3.
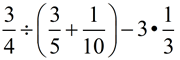
Simplify:
Choose:
4.
Find the product:
Choose:
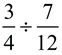
5.
Express this quotient in simplest form:
Choose:
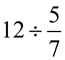
6.
Find this quotient:
Choose:
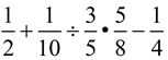
7.
Simplify:
Choose:
8.
Simplify:
Choose:
9.
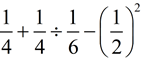
Simplify:
Choose:
10.
Simplify:
Choose:
NOTE: There-posting of materials(in part or whole) from this site to the Internet
is copyright violation
and is not considered "fair use" for educators. Please read the "Terms of Use".