fractionGirl2 Rules for Adding fractions:
1. The bottom numbers (denominators) must be the same.
2. Add the top numbers (numerators)
    Put this answer over the denominator.
3. Simplify the fraction, if possible.

Remember: "common denominators"
("common denominators" means the "same" denominators)


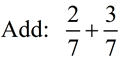
Same Denominators:
"Common Denominators"
When the fractions have the same denominators, addition and subtraction are easy.

When adding (or subtracting) fractions with the same denominators,
just add (or subtract) the numerators.

add1
Since the denominator are the same, the answer can be found by adding the numerators (tops).
add2
This answer is in simplest form.
Since there are no numbers that divide exactly into both 5 and 7, we cannot simplify further. (5 and 7 are prime numbers) 

add1bar

add3
These fractions have the same denominators, so add the numerators.
   add5 This answer can be simplified further. Both 6 and 8 can be divided by 2.
add6
This is the answer in simplest form.
add2bar
   
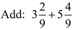
Two Methods for Dealing with Mixed Numbers:
adda
Method 1: Separate parts horizontally
Remember what you say when you read a mixed number aloud.  For example, 4½ is read as "4 and one-half". The "and" means addition.
as1 arrowup
adda
Method 2: Line up vertically

as2
Whether you use method 1 or method 2 to solve this problem, the final answer can be reduced
Both 6 and 9 can be divided by 3. (simplified) to as3

dividerdash

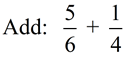
Different Denominators:
When fractions have different denominators, you must find a common denominator.

When adding (or subtracting) fractions with different denominators,
you must
find a common denominator before adding (or subtracting).

When you are looking for the least common denominator, you are looking for the smallest number that both denominators will divide into exactly.
starsmall Remember, you can always multiply the two denominators together to get a common denominator. This number may not be the "least" common denominator, but it will do the job.

addd2 The least common denominator for 4 and 3 is 12.

    addd3

If an answer is an improper fraction, you should rewrite the answer as a mixed number, unless told otherwise.


  fracnewadd The least common denominator for 6 and 4 is 12.

    newfracs2

In this problem, we realized that both 6 and 4 divided exactly into 12, making 12 the least common denominator.

   
NOT using least common denominaor:
Let's look at that second problem again. This time we do not recognize 12 as the least common denominator. We will multiply the two denominators together to get a common denominator.
  fracnewadd The common denominator for 6 and 4 is 24.

newfracs3

We still arrived at the correct answer. We just had to simplify one additional time.

Dealing with Mixed Numbers:

addd4 The least common denominator for 8 and 5 is 40.
addd5
addd6

Adding fractions depends upon whether a common denominator is present.
The Fundamental Law of Fractions (applied to adding fractions) discusses this
need of a common denominator.

Fundamental Law of Fractions (applied to adding fractions):diaddrule
(Note: bd will not necessarily be the "least" common denominator)

In plain English, this law is telling us that we can find a common denominator by finding the product (the multiplication) of the two existing denominators. The numerators must then be adjusted accordingly.
(bd is the product of the two denominators)

dividerdash

Adding Fractions on the Number Line:

We are going to be looking at the addition of fractions using number lines.

When 13and 34are plotted on number lines, the subdivisions (sections) on the number lines are different. One of the subdivision is "thirds" and the other is "fourths". Because of this difference in the size of these sections, we have no way of combining (or adding) them together. It would be like adding apples and dogs and wondering what you actually had when you were done. An "appledoodle", maybe???? Smile!

There must be a way to "fix" the subdivisions (sections) so that they could be the same size. The trick is to make more equal subdivisions until we have the same equal number on each line.
.(Finding the needed number of subdivisions, will create our common denominator.)

On the "thirds" line, if we cut each "third" into four equal sections we will get 12 in total.
On the "fourths" line, if we cut each "fourth" into three equal sections we will get 12 in total.
(This number 12 will be called our common denominator.)

Add:
ma
addline

Now that both lines contain subdivisions of the same size (both have 12 sections), we can express our fractions using this new subdivision size of 1/12. Then we can add the fractions together (since they are representatives of the same size sections). Now we are adding apples to apples.
dogs

Let's combine our number lines onto one line to demonstrate this sum.

addlinesum

Notice that the13, when multiplied top and bottom by 4, creates our new fraction 412.
(4 was the number of subdivisions we created for each "third" section)

Notice that the 34, when multiplied top and bottom by 3, creates our new fraction 912.
(3 was the number of subdivisions we created for each "fourth" section)

dividerdash

ti84c
For help with fractions
on your calculator,
click here.

divider

NOTE: The re-posting of materials (in part or whole) from this site to the Internet is copyright violation
and is not considered "fair use" for educators. Please read the "Terms of Use".