catsmile
Rules for Multiplying fractions:
1. Multiply the top numbers (numerators)
2. Multiply the bottom numbers (denominators).
3. Simplify the fraction, if possible.
"Don't you just LOVE multiplying fractions.
It is soooooo easy!
No common denominators. YEA! "

Multiplication

When you multiply two fractions, you simply multiply the numerators (tops)
and you multiply the denominators (bottoms). That's it!
m1

bullet Multiplying examples:
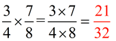
1. Answer cannot be further reduced:
      e1
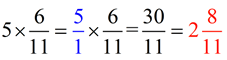
2. Multiply by a whole number:
      e2
3. Reducing within the problem:
      e4
In this problem, if you reduce within the problem, you will arrive at the final answer more quickly. The 4 in the bottom and the 8 in the top share a common factor of 4. (This process works only with one top number and one bottom number.)
            e3

You can think of this process as decomposing the fractions (breaking them apart) so that the common factor (top and bottom), when multiplied, will create a 1.
                      e5

4. Mixed number:
The easiest way to work with multiplying with a mixed number is to change it into an improper fraction (bigger on top).
      e7

5. Mixed numbers:
Change both mixed numbers to improper fractions.
In this example, reducing within the problem is possible. The 22 and 4 have a common factor of 2. The 3 and 27 have a common factor of 3.

     e8

dividerdash

Visualizing Multiplication

m2
Take a "whole" space and divide it into 3 thirds vertically.
Shade 1/3.

m3
Now, divide that same "whole"
into 2 halves horizontally. Shade 1/2.
m8
The solution is where the two
shadings overlap. It is 1/2 of 1/3
.
One of the 6 cells is the solution.

m5
Take a "whole" space and divide it
into 5 fifths vertically.
Shade 3/5.
m6
Now, divide that same "whole" into
4 fourths horizontally. Shade 3/4.

m7
The solution is where the two shadings overlap. It is 3/4 of 3/5.
Nine of the 20 cells are the solution.

Multiplying by a whole number.

When multiplying a fraction by a whole number,
the multiplication can easily be seen as repeated addition.

mm1

              circlepic2

dividerdash

Multiplying Fractions on the Number Line:

mm2
wayto2
Step 1: Start by plotting 1/2. Since we need to find "2/3 of the distance to 1/2" (or "2/3 of the way to 1/2"), divide the distance from 0 to 1/2 into thirds. We can now visualize this distance. But we don't know the actual length of this distance in terms of the whole from 0 to 1.
wayto1

Answer: Since the "whole" is represented as the distance from 0 to 1, 2/3 of the distance to 1/2 is 2/6 of the whole.
Of course, this can also be simplified to 1/3 of the whole.
 
Step 2: Divide the other 1/2 section of the line also into thirds. The entire "whole" from 0 to 1 has now been divided into 6 equal sections. Label each of the sections in "sixths". The answer is that "2/3" of the distance to 1/2" is "2/6 of the distance to 1", or is ""2/6 of the whole".
wayto2b
wayto3

dividerdash

ti84c
For help with fractions
on your calculator,
click here.

divider

NOTE: The re-posting of materials (in part or whole) from this site to the Internet is copyright violation
and is not considered "fair use" for educators. Please read the "Terms of Use".