Practice Page
Directions: Read carefully. Choose the best answer.

1.
Function A and Function B are linear functions.
Function A is represented by the table shown below.
Function B is represented by the graph shown below.
Function A
x
y
1
3
2
7
3
11
4
15

 

Function B
compare2
 
Which statement is true regarding Function A and Function B?
Choose:
The functions have the same y-intercept.
The functions have the same slope.
The functions each have a positive slope.
The functions each have a positive y-intercept.

 

 

2.
Function A and Function B are linear functions.
Function A has the characteristics stated below.
Function B is represented by the table shown below.
Function A
has a y-intercept of 1 and an x-intercept of -4

 

Function B
x
y
-1
-3
3
5
5
9
10
19
 
Which statement is true?
Choose:
The y-intercept of Function A is less than the y-intercept of Function B.
The y-intercept of Function A is greater than the y-intercept of Function B.
The y-intercept of Function A is equal to the y-intercept of Function B.

 

 

3.
Function A and Function B are linear functions.
Function A is represented by the equation shown below.
Function B is represented by the graph shown below.

Function A

y = -2x+3

Function B
compare3
 
Which statement is true?
Choose:
The slope of Function A is the same as the slope of Function B.
The slope of Function A is negative and the slope of Function B is positive.
The slope of Function A and Function B are both positive.
The slope of Function A and Function B are both negative.

 

 

4.
Function A and Function B are linear functions.
Function A is represented by the equation shown below.
Function B is represented by the table shown below.

Function A
y = 5x + 1

a) Which function has the greater rate of change?
Choose:
Function A
Function B

Function B
x
y
-4
-10
-2
-4
2
8
4
14
 
b) Which function has the greater y-intercept?
Choose:
Function A
Function B

 

 

5.
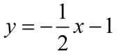
Function A is represented by the equation shown below.
Function B is represented by the graph shown below.

Function A
compare1

For which of the functions are all of the output values less than 0?
Choose:
Only Function A
Only Function B
Both functions
Neither function
Function BFFgraph3

 

 

6.
Function A and Function B are linear functions.
Function A has the characteristic stated below.
Function B is represented by the graph shown below.
Function A
the y-intercept of this function is 5/2 larger than the y-intercept of Function B

Which of the following functions could represent Function A?

Choose:
y = 0.5x - 1.5
y = 2x + 2.5
y = 3x + 1.5
y = 2.5x - 2.5
Function B
compare4

 

 

7.
Function A and Function B are linear functions.
Function A is represented by the equation shown below.
Function B is represented by the table shown below.
 

Function A
y = 2x + 5

Which of the following statements about the features of Function A and Function B are true?

Choose all that apply. Hit Submit.

Function B
x
y
1
2
3
8
4
11
7
20
 

The y-intercept of Function A is greater than the y-intercept of Function B.

The y-intercept of Function A is less than the y-intercept of Function B.

The y-intercept of Function A is equal to the y-intercept of Function B.

The rate of change of Function A is greater than the rate of change of Function B.

The rate of change of Function A is less than the rate of change of Function B.

The rate of change of Function A is equal to the rate of change of Function B.



        

 

 

8.
Function A and Function B are linear functions.
Function A is represented by the equation shown below.
Function B is represented by the table shown below.

Function A

y
= 2x + 5

Function B
x
y
1
6
5
22
8
34
10
42
 
Which of the following statements is true?
Choose:
The rate of change of Function A is less than the rate of change of Function B.
The rate of change of Function A is greater than the rate of change of Function B.
The rate of change of Function A is equal to the rate of change of Function B.

 

 

9.
The graph of a non-linear function is shown at the right.
Which of the following linear functions has the same y-intercept as the function at the right?

Choose:
y = 3x - 2
y = ½ x + 3
3x + 2y = 4
4x - y = 2
compare6

 

 

10.
Function A and Function B are linear functions.
Function A is represented by the equation shown below.
Function B is represented by the graph shown below.

Function A
y = 2x + 2

Which statement is true regarding the rates of change for these two functions?
Choose:
Function A's rate is larger.
Function B's rate is larger.
Both rates are the same.
Function B
FFgraph3

 


divider

NOTE: The re-posting of materials (in part or whole) from this site to the Internet is copyright violation
and is not considered "fair use" for educators. Please read the "Terms of Use".