While the metric system was lawfully accepted for use in the United States in 1866, the US has not adopted the metric system as its "official" system of measurement.
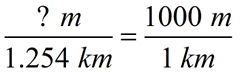
In the metric system, each basic type of measurement (length, weight, capacity) has one basic unit of measure (meter, gram, liter). Conversions are quickly made by multiplying or dividing by factors of 10. It is a simple as moving the decimal point to the right (for smaller prefixes) or to the left (for larger prefixes).
To remember the proper movement, arrange the prefixes from largest to smallest.


Kilo means thousand (1000)
Hecto means hundred (100)
Deca means ten (10) |
Deci means one-tenth (1/10)
Centi means one-hundredth (1/100)
Milli means one-thousandth (1/1000) |
|