|
Directions: Read each problem carefully! The cartoon "hints" may, or may not, be helpful!
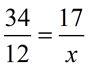
1. |
Is  a true proportion? |
|
|
Choose:
|
|
2. |
Find x:  |
|
|
Choose:
|
|
3. |
Find x:  |
|
|
Choose:
|
|
4. |
Find x:  |
|
|
Choose:
|
|
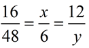
5. |
Find x and y:  |
|
|
Choose:
|
|
6. |
A map shows a distance of 50 miles to be represented by ½ inch. How many inches would be needed to represent 350 miles? |
 |
|
Choose:
|
|
|
The volunteer fire department is holding its annual pancake breakfast to raise money. It takes 2 cups of pancake batter for every six pancakes that are made. If they sell a total of 1200 pancakes, how many cups of pancake batter did they use? |
|
|
Choose:
|
|
8. |
The current ratio of cats to dogs in a shelter is 5 : 2. If there are 20 cats in the shelter, how many dogs are in the shelter?
Choose:
|
 |
|
9. |
A plastic dinosaur skeleton with a total length of 17 inches, is enlarged to full size with a total length of 17 feet. If one of the bones measuring 2½ inches is enlarged, what will be its enlarged measurement in inches? |
|
|
Choose:
|
|
10. |
At a pie eating contest, Jordan can eat 12 pieces of pie in 10 minutes. At this same pace, how many pieces of pie can Jordan eat in 15 minutes?
|
|
|
Choose:
|
|

NOTE: The re-posting of materials (in part or whole) from this site to the Internet
is copyright violation
and is not considered "fair use" for educators. Please read the "Terms of Use". |
|
|