|
Things to remember about right triangles:
• A right triangle has one right angle.
(A right angle measures exactly 90º.)
• A "box" is used to indicate the location of the right angle.
• The longest side of the right triangle (across from the "box")
is called the "hypotenuse".
• The remaining two sides are referred to as "legs", which may,
or may not, be of equal length.
|
|
• Note: It is possible for a right triangle to also be scalene or isosceles.
  
As the diagram above shows, the use of radicals pop up when working with right triangles.
Refer to the Radicals section to review your skills on working with radicals.

Some interesting facts about right triangles:
• Right triangles are used by carpenters, architects, and surveyors to ensure " square corners".
Pastures for animals are usually rectangular in shape. A farmer uses a right triangle to check to see if the fencing will form a rectangle.
 |
Take 3 measurements at a corner and apply the Pythagorean Theorem to be sure you have a right angle in the pasture corner. |
|
• If a right triangle is inscribed in a circle, the hypotenuse lies on a diameter of the circle.
"Inscribed in a circle" means that each vertex of the triangle will lie ON the circle.
When a right triangle is inscribed, the hypotenuse will ALWAYS fall on the diameter of the circle. |
 |
|
• All isosceles right triangles are similar.
The AA method for verifying that triangles are similar is satisfied when comparing all isosceles right triangles.
|
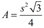
An isosceles right triangle can be viewed as half of a square when the diagonal of the square is drawn.
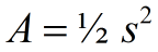
While the area of any triangle is A = ½bh, this formula can be written in a special manner to be used only for
isosceles right triangles.
(viewed as half the area of a square with side s):
The base, b and height, h, can both be expresses as s.
A = ½ • s • s = ½ s2 |
|
|

FYI: "Special right triangles" are two extremely popular right triangles used in mathematics. The features of these triangles make calculations on the triangles easier. There are even special formulas associated with the sides of these triangles.
[The use of the formulas associated with these triangles will appear repeatedly in high school geometry and beyond. The formulas are mentioned here for reference only.]
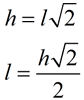
• Special Right Triangle
45º - 45º- 90º
This is an isosceles right triangle.
|
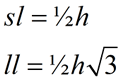
• Special Right Triangle
30º - 60º - 90º
|

NOTE: The re-posting of materials (in part or whole) from this site to the Internet
is copyright violation
and is not considered "fair use" for educators. Please read the "Terms of Use". |
|