|
Directions: Read carefully and choose the best answer.
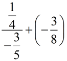
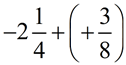
1. |
Simplify:
Choose:
|
 |
|
2. |
The altitude of a soaring glider changed -420 feet in 10 minutes. What was the mean change of altitude in feet per minute?
Choose:
|
|
|
3. |
To which of the following questions could the answer be zero?
Choose:
|
|
4. |
The number line shown below indicates the location of point A.
If the distance between point B and point A is 3½ units, which number could represent the location of point B?
Choose:
|
|
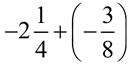
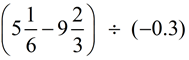
5. |
Simplify:
Choose:
|
|
|
6. |
Which expressions are equivalent to ?
(Check all that apply!) |
|
|
|
|
7. |
Which situation could use the quotient of -36 ÷ 4 to answer the question?
Choose:
|
|
8. |
Simplify:
Choose:
|
|
|
9. |
Which expressions have positive products?
(Check all that apply!) |
|
|
|
|
10. |
A number, n, is multiplied by  .
If this product is -0.25, what is the value of n?
Choose:
|
 |
|
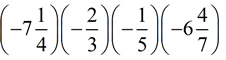
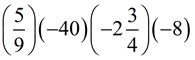
11. |
Find the value of: 
Choose:
|
|
|
12. |
Which expressions are equivalent to -5 - (1.25 + 4.5)?
(Check all that apply!) |
|
|
|
|
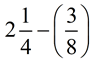
13. |
Find:
Choose:
|
 |
|
14. |
Find:
Choose:
|
|
|
15. |
Which expression is equivalent to 5 - (- 4)?
Choose:
|
|
|
16. |
A seagull flying  feet above the surface of a pond spots a fish  feet below the surface of the pond. What is the distance, in feet, between the seagull and the fish?
Choose:
|
|
17. |
Simplify: -4(3n - 1) - 4n
Choose:
|
|
|
18. |
Simplify: 
Choose:
|
 |
|
19. |
Nicole had $10 in her checking account. She wrote a check for $54.00. The bank charged her a fee of $15.95 for being overdrawn. What was the new status of her account after these occurrences?
Choose:
|
|
20. |
A proton has a charge of positive one. An electron has a charge of negative one. What is the total charge of an ion with 42 protons and 38 electrons?
Choose:
|
|

NOTE: The re-posting of materials (in part or whole) from this site to the Internet
is copyright violation
and is not considered "fair use" for educators. Please read the "Terms of Use". |
|